Saltar la navegación

Introducción

¿Qué es una función?

Una función es una relación entre dos conjuntos (A y B). En donde se asigna a cada elemento x de un conjunto A exactamente un elemento, llamado f(x), de un conjunto B.

Por lo general, consideramos funciones para las cuales los conjuntos A y B son conjuntos de números reales. El símbolo f(x) se lee “f de x” o “f en x” y se denomina valor de f en x, o la imagen de x bajo f.

En una función existen dos variables:

  • Variable independiente: es un valor que no depende de ninguna otra variable. Se le pueden asignar valores sin tener en cuenta otras variables. Suele representarse por la letra x.
  • Variable dependiente: es aquella cuyos valores dependen de otra variable, que se llama variable independiente (x). Se representa por la letra y, aunque a veces se denota como f(x).

El conjunto A recibe el nombre de dominio de la función. El rango de f es el conjunto de todos los valores posibles de f(x) cuando x varía en todo el dominio (Stewart et al, 2012, p. 143).

Paola Chávez. Definición de función



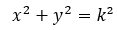
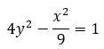
¿Es una función?

Pregunta

¿Cuáles de las siguientes expresiones que se muestran a continuación son una función? Selecciona las opciones que se son una función de acuerdo a la definición dada anteriormente.

Al finalizar, da click en el botón Ins 2 para ver tus resultados.

Respuestas

Opción 1

Opción 2

Opción 3

Opción 4

Opción 5

Opción 6

Opción 7

Retroalimentación

Creado con eXeLearning (Ventana nueva)