¿Qué es una función cuadrática?
Es una función polinómica de segundo grado. Esta función se puede expresar de las siguientes maneras:
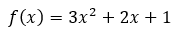
Forma estándar o polinomial
![]()
donde a≠0
Forma canónica
![]()
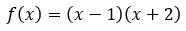
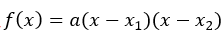
Forma factorizada
![]()
Es una función polinómica de segundo grado. Esta función se puede expresar de las siguientes maneras:
![]()
donde a≠0
![]()
![]()
Obra publicada con Licencia Creative Commons Reconocimiento No comercial Compartir igual 4.0