Saltar la navegación

Evaluación de la función cuadrática

Información

¡Recuerda!

Una función es una relación que para cada valor de x existe solo un valor de y .

¿Cómo puedo evaluar una función cuadrática?

Para encontrar los valores de y se deben reemplazar los valores de x en una función. Por lo general, la información se organiza utilizando una tabla de valores. En la mayoría de los casos, los valores de entrada pueden ser cualquier número.

Paola Chávez. Evaluación de la función cuadrática

Apoyo visual

Evalúa las funciones

Instrucciones:

  1. Evalúa las funciones dadas en cada uno de los valores que indican las tablas.
  2. Completa las casillas con los resultados obtenidos.
  3. Al finalizar, da click en el botón Ins 6 en la parte inferior para ver tu puntuación.
  4. Para ver las respuestas correctas, da click en el botón Ins 6.1 en la parte inferior.

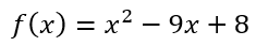
Pregunta 1

x y
-2
-1
0
1
2

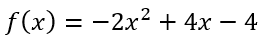
Pregunta 2

x y
-5
-3
0
3
5

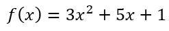
Pregunta

x y
-5
-2
0
2
5

Habilitar JavaScript

Creado con eXeLearning (Ventana nueva)