Parámetros de la función
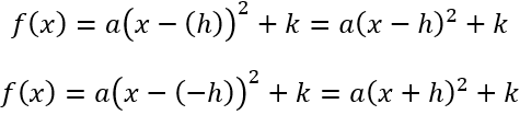
La parábola de una función cuadrática se modifica de acuerdo a sus parámetros en su forma canónica . La parábola puede tener desplazamientos horizontales y/o verticales, contracción o expansión y la reflexión de la gráfica. Todos estos comportamientos se originan partiendo de lo que se conoce como función elemental: f(x)=x².
